HUBER+SUHNER SUCOFLEX® 102 Microwave Cable Assemblies
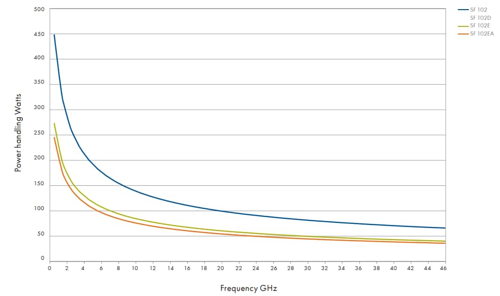
HUBER+SUHNER SUCOFLEX® 102 Microwave Cable Assemblies are designed for applications up to 46GHz or wherever weight or diameter are the critical factors. These cable assemblies utilize PC2.4, SMA, N, TNC, and SK connectors. The PC2.4 and SK connectors are ideal for low-frequency applications. HUBER+SUHNER SUCOFLEX 102 cable assemblies offer 50Ω impedance, high stability, low loss, and a wide range of connectors. These cable assemblies are ideal for test laboratories and aircraft manufacture.Features
- Up to 46GHz frequency
- Ideal for applications where weight and diameter are critical factors
- Utilize PC2.4, SMA, N, TNC, and SK connectors
- High stability
- Low loss
- 50Ω impedance
- 87pF/m capacitance
- 4.3ns/m signal delay
- ≥1 x 108MΩm insulation resistance
- ≤1.4kVrms maximum operating voltage
- -55°C to +165°C operating temperature range
Applications
- Test laboratories
- Aircraft manufacturing
Power Handling
Additional Resources
Associated Tool
Publicado: 2019-07-18
| Actualizado: 2025-04-15
